




Scientific papers
Lucas Javier Albornoz, Rebeca Díaz Pardo, Aristide Lemaître, Sebastian Bustingorry, Javier Curiale, Vincent Jeudy, “Internal structure dependent creep motion of domain walls driven by spin-transfer torques“, Phys. Rev. B 110, 024403, 2024
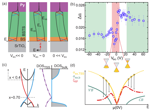
Laura Pietanesi, Magdalena Marganska, Thomas Mayer, Michael Barth, Lin Chen, Ji Zou, Adrian Weindl, Alexander Liebig, Rebeca Díaz-Pardo, Dhavala Suri, Florian Schmid, Franz J Gießibl, Klaus Richter, Yaroslav Tserkovnyak, Matthias Kronseder, Christian H Back, “Tracing Dirac points of topological surface states by ferromagnetic resonance“, Phys. Rev. B 109, 064424, 2024
Víctor-Fabián Ruiz-Ruiz, Israel Betancourt, Inti Zumeta-Dubé, Rebeca Díaz-Pardo, David Díaz, “Magnetic properties of Pd–Ag nanoalloys obtained by liquid-assisted mechanochemical pathway“, J. Phys Chem of Solids, vol. 161, February 110427, 2022
Thomas Mayer, Heiko Werner, F Schmid, R Diaz-Pardo, J Fujii, I Vobornik, CH Back, M Kronseder, D Bougeard, “Transport properties of band engineered 𝑝−𝑛 heterostructures of epitaxial Bi2Se3/(Bi1−𝑥Sb𝑥)2(Te1−𝑦Se𝑦)3 topological insulators“, Phys. Rev. Materials 5, 014202, 2021
L Herrera Diez, F Ummelen, V Jeudy, G Durin, L Lopez-Diaz, R Diaz-Pardo, A Casiraghi, G Agnus, D Bouville, J Langer, B Ocker, R Lavrijsen, HJM Swagten, D Ravelosona, “Magnetic domain wall curvature induced by wire edge pinning“, Appl. Phys. Lett. 117, 062406 (2020)
R Díaz Pardo, N Moisan, Lucas Javier Albornoz, A Lemaître, J Curiale, V Jeudy, “Common universal behavior of magnetic domain walls driven by spin-polarized electrical current and magnetic field“, Phys. Rev. B 100, 184420, 2019
W Savero Torres, R Díaz Pardo, Sebastián Bustingorry, Alejandro Benedykt Kolton, Aristide Lemaitre, Vincent Jeudy, “Universal dimensional crossover of domain wall dynamics in ferromagnetic films“, Phys. Rev. B 99, 201201(R), 2019
Vincent Jeudy, R Díaz Pardo, W Savero Torres, Sebastian Bustingorry, Alejandro Benedykt Kolton, “Pinning of domain walls in thin ferromagnetic films“, Phys. Rev. B 98, 054406, 2018
Víctor-Fabián Ruiz-Ruiz, Rodrigo González-Olvera, Rebeca Díaz-Pardo, Israel Betancourt, Inti Zumeta-Dubé, David Díaz, Norberto Farfán, M Josefina Arellano-Jiménez, “Mechanochemically obtained Pd–Ag nanoalloys. Structural considerations and catalytic activity“, Materialia,
Volume 4, 2018, Pages 166-174
Nirvana B Caballero, Iván Fernández Aguirre, Lucas J Albornoz, Alejandro B Kolton, Juan Carlos Rojas-Sánchez, Sophie Collin, Jean Marie George, Rebeca Diaz Pardo, Vincent Jeudy, Sebastian Bustingorry, Javier Curiale, “Excess velocity of magnetic domain walls close to the depinning field“, Phys. Rev. B 96, 224422, 2017
R. Diaz Pardo, W. Savero Torres, A. B. Kolton, S. Bustingorry, V. Jeudy, “Universal depinning transition of domain walls in ultrathin ferromagnets“, Phys. Rev. B 95, 184434, 2017
Rebeca Díaz-Pardo, Silvia Bierlich, Jörg Töpfer, Raúl Valenzuela Monjaras, “Electron spin resonance (ESR) of magnetic sublattices in Sc-substituted barium hexaferrite“, AIP Advances 6, 055202 (2016)
Chapters in books
R. Díaz Pardo & J. Martínez Garfias, “Waveguides in magnetism and spintronics“, Optical Waveguide Technology and and Applications, IntechOpen, 2024
Raúl Valenzuela Monjarás Rebeca Díaz Pardo, “Characterization of Magnetic Phases in Nanostructured Ferrites by Electron Spin Resonance“, Advanced Electromagnetic Waves, IntechOpen, 2015